After completed the Part 1: Joint Efficiency, we will continue to try on the Open/Close questions on Module ASME VIII – Static Head as a part of in-the-exam API 510 Body of knowledge (BOK)
If you don’t know how API 510 Certification scheme, See API 510 Certification Instructions
ASME VIII – STATIC HEAD
The inspector must be able to compensate for the pressure resulting from static head. All static head will be based upon a Specific Gravity of 1.0. The inspector should be able to:
a) List the static head/pressure conversion factor (0.433 psi/ft);
b) Know the difference between vessel MAWP and vessel part MAWP (UG-98);
c) Calculate static head pressure on any vessel part;
d) Calculate total pressure (MAWP + static head) on any vessel part;
e) Calculate maximum vessel MAWP given vessel parts MAWP and elevations
Static head calculations may also be required during the internal pressure calculations if static head data is given in the examination problem.
Before go through the questions, you may refer to this topic What is MAWP of pressure vessel (ASME VIII) for the first glance on how the static head definition.
Question 1: At what location is MAWP specified?
(a) Always at the top of a vessel
(b) Always at the bottom of a vessel
(c) At the location where the pressure gauge is located
(d) Any of the above, as long as you specify where it is
Explanation: See UG 98-(a)
Question 2: How vessel MAWP determined with given all MAWP of each vessel-part (Shell, Head, Bottom)?
(a) by adding appropriate static head for the Part with Lowest MAWP
(b) by subtracting appropriate static head for the Part with Lowest MAWP
(c) as same as the Part with Lowest MAWP
(d) by finding the Lowest pressure after subtracting the appropriate static head pressure from each part.
Explanation: See below sample

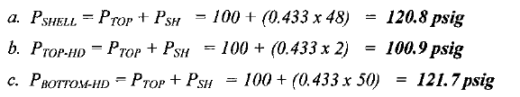
Question 3: A 50 feet-high vessel has Design pressure of 100 psig, the elevation shown on the sketch, please calculate the pressure should be designed for each part:
- The shell should be designed for:______psig
- The top-head should be designed for:______psig
- The bottom-head should be designed for:______psig


Question 4**: A 42 feet-high vessel has calculated MAWP for each part as details in table, the elevation shown on the sketch, please calculate the MAWP for the whole vessel:

Check again the question 2 and below answer:


2 thoughts on “API 510 Questions and Answers (ASME VIII – Static Head)”